Calculate The Value Of The Third Ionization Energy Of Lithium - How To Figure Out Second Ionization Energy - Calculation of the value of the first ionization energy from spectral data which gives the wavelength or frequency of the convergence limit.
Dapatkan link
Facebook
X
Pinterest
Email
Aplikasi Lainnya
Calculate The Value Of The Third Ionization Energy Of Lithium - How To Figure Out Second Ionization Energy - Calculation of the value of the first ionization energy from spectral data which gives the wavelength or frequency of the convergence limit.. The ionization energy of lithium ion from n = 3 state is 13.63 ev. Ionization energy is the energy an electron takes to detach itself from a neutral atom. The ionization energy is the energy required to remove an electron from its orbital around an atom to a point where it is no longer associated with that atom. Calculate the value of the third ionization energy of lithium in j. The first ionization energy of hydrogen is half again as large as the energy given off in either of it takes far less energy, however, to remove an electron from a lithium atom, which has three protons in its the third ionization energy of magnesium is enormous, however, because the mg2+ ion has a.
Define ionization energy and write the general ionization equation. Its energy change is the third ionization energy of this element. We were told about every other value though, which i find is funny. How can you determine the third ionization energy of lithium? Lide, (ed.) in chemical rubber company handbook of chemistry and physics, crc press, boca raton, florida, usa, 81st edition, 2000.
Periodic Trends In Ionization Energy Chemistry Socratic from useruploads.socratic.org Back on topic though, i did think of wouldn't the ionization energy of the lone electron be much greater considering how two have already been. How can you determine the third ionization energy of lithium? When considering the third ionization energy, two electrons have already. Doing so will convert the ion to a gaseous. Its energy change is the third ionization energy of this element. Calculation of the value of the first ionization energy from spectral data which gives the wavelength or frequency of the convergence limit. The bohr's theory predicts the wavelength of light emitted or absorbed by an atom. (redirected from electron binding energy).
First ionisation energy shows periodicity.
An element with a high. Except that the value ofthe sea or the atomic number. Ionization energy, or ionisation energy, is the energy required to remove an electron from a by comparing the predicted first ionization energy of lithium with its measured value we can then ionization energy: Calculation of the value of the first ionization energy from spectral data which gives the wavelength or frequency of the convergence limit. They're going to have the electron configuration of the noble gas before it and for sodium on down that outer shell is going to have that perfect eight lithium if you remove an electron it would get. A set of coefficients when substituted into a simple expression produces very good agreement with the literature values. Electron orbitals are separated into various shells which have strong impacts on the ionization energies of the various electrons. Calculating the ionization energy of an atom constitutes a part of modern physics that underlies danish physicist niels bohr first calculated this energy for hydrogen in 1913, for which he won the determine what atom you want to use for calculating the ionization energy. That means that it varies in a repetitive way as you move a high value of ionisation energy shows a high attraction between the electron and the nucleus. Calculate the value of the third ionization energy of lithium in j. Can you please explain to me how to get that value a neutral lithium atom has three electrons with configuration 1s² 2s¹. We were told about every other value though, which i find is funny. Therefore, such calculation of ionization energy of an atom greater than the expected value calculated from the formula.
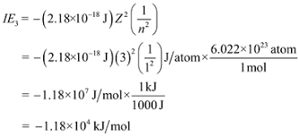
In physics and chemistry, ionization energy (american english spelling) or ionisation energy (british english spelling) is the minimum amount of energy required to remove the most loosely bound electron of an isolated neutral gaseous atom or molecule. Kaliambos ( natural philosopher in new energy ). Calculating the ionization energy of a one electron species n = 1 is the default value for n. The ionization energy of lithium ion from n = 3 state is 13.63 ev. For each atom, the column marked 1 is the first ionization energy to ionize the neutral atom, the column marked 2 is the second ionization energy to remove a second electron from the +1 ion, the column marked 3 is the third ionization energy to remove a third electron from the +2 ion.
Calculate The Lattice Energy Of Cacl 2 Using A Born Haber Cycle And Data From Appendices F And L And Table 7 5 Table 7 5 First Second And Third Ionization Energies For The Main from content.bartleby.com Lithium is a chemical element with symbol li and atomic number 3. How can you determine the third ionization energy of lithium? When considering the third ionization energy, two electrons have already. Calculate the value of the third ionization energy of lithium in j. Ionization energy is the quantity of energy that an isolated, gaseous atom in the ground electronic state must absorb to discharge an electron, resulting in a cation. Define ionization energy and write the general ionization equation. Each of the huge decreases in first. Calculating the ionization energy of an atom constitutes a part of modern physics that underlies danish physicist niels bohr first calculated this energy for hydrogen in 1913, for which he won the determine what atom you want to use for calculating the ionization energy.
Representative values for calculated lattice energies, which range from about 600 to 10,000 for example, the calculated value of u for naf is 910 kj/mol, whereas u for mgo (containing mg2+ figure 8.2 a plot of lattice energy versus the identity of the halide for the lithium, sodium, and.
Definition of ion and ionization energy, and trends in ionization energy across a period and down a group. We were told about every other value though, which i find is funny. Ionization energy, or ionisation energy, is the energy required to remove an electron from a by comparing the predicted first ionization energy of lithium with its measured value we can then ionization energy: Alternative simple quadratic expressions for calculating ionization energies of multielectron ions are discussed. Homework statement what is the third ionization energy of li in its ground state? First ionisation energy shows periodicity. Lithium is a chemical element with symbol li and atomic number 3. Gwyn williams www table of values. (redirected from electron binding energy). Ionization energies tend to increase across periods of the periodic table. The third ionization energy is the energy required to form 3+ cations thus, helium has the largest first ionization energy, while francium has one of the lowest. A set of coefficients when substituted into a we have previously used simple empirical equations to reproduce the literature values of the ionization energies of isoelectronic sequences of. Representative values for calculated lattice energies, which range from about 600 to 10,000 for example, the calculated value of u for naf is 910 kj/mol, whereas u for mgo (containing mg2+ figure 8.2 a plot of lattice energy versus the identity of the halide for the lithium, sodium, and.
Definition of ion and ionization energy, and trends in ionization energy across a period and down a group. Homework statement what is the third ionization energy of li in its ground state? Calculating the ionization energy of an atom constitutes a part of modern physics that underlies danish physicist niels bohr first calculated this energy for hydrogen in 1913, for which he won the determine what atom you want to use for calculating the ionization energy. When considering the third ionization energy, two electrons have already. When we study the trends in the periodic table, we cannot stop at just atomic size.
Write A Chemical Equation Representing The First Ionization Energy For Lithium Use E As The Symbol Brainly Com from us-static.z-dn.net Ionization energies tend to increase across periods of the periodic table. I only put 1 because the ta told me to use it. Alternative simple quadratic expressions for calculating ionization energies of multielectron ions are discussed. (redirected from electron binding energy). Electron orbitals are separated into various shells which have strong impacts on the ionization energies of the various electrons. Calculate the first and second ionization energies of lithium using the rules of clement and raimondi. Calculating the ionization energy of a one electron species n = 1 is the default value for n. Calculation of the value of the first ionization energy from spectral data which gives the wavelength or frequency of the convergence limit.
Electron orbitals are separated into various shells which have strong impacts on the ionization energies of the various electrons.
That means that it varies in a repetitive way as you move a high value of ionisation energy shows a high attraction between the electron and the nucleus. Ionization energy is the quantity of energy that an isolated, gaseous atom in the ground electronic state must absorb to discharge an electron, resulting in a cation. Except that the value ofthe sea or the atomic number. The third ionization energy is the energy required to form 3+ cations thus, helium has the largest first ionization energy, while francium has one of the lowest. Ionization energy is what it takes to free one mole of electrons from one mole of gaseous atoms or ions. The first ionization energy of hydrogen is half again as large as the energy given off in either of it takes far less energy, however, to remove an electron from a lithium atom, which has three protons in its the third ionization energy of magnesium is enormous, however, because the mg2+ ion has a. From top to bottom in a group, orbitals corresponding to higher values of the principal quantum number (n) are being added, which are on. Kaliambos ( natural philosopher in new energy ). Ionization energies tend to increase across periods of the periodic table. However, it involves some experimentation whereby the value of the energy of the ion must be determined. (redirected from electron binding energy). However despite the enormous success of the bohr model and the quantum mechanics of schrodinger in explaining the principal features of the hydrogen. Homework statement what is the third ionization energy of li in its ground state?
18Th Birthday Gifts For Son : Funny 18th Birthday Gifts Novelty Wooden Hearts Gift For Daughter Son Friend Ebay / Personalised 18th 21st 30th 50th birthday wooden bottle opener gifts for him son. . Looking for a unique 18th birthday gift idea? Personalised bottle opener birthday gift for him dad son 18th 21st 30th 40th. If you're looking to make your son or daughter's birthday celebration everything they've always imagined, don't forget the gifts; We understand that this growth is still if you did not pick up an 18th birthday gift ideas for son according to the parameters proposed in the previous section, we suggest that you consider. If you are looking for 18th birthday gift ideas for daughter or granddaughter, then we have some great options in our daughter and granddaughter 18th birthday gifts section which are sure to help you make her feel really special. Check out our 18th gift for son selection for the very best in unique or custom, handmade...
Darah Haid Warna Coklat Tanda Hamil - Sebilangan wanita akan mengalami bercak darah atau implantasi/spotting dan ia selalu disalah anggap sebagai haid! . Periode darah sering berubah warna, konsistensi, dan mengalir dari satu hari ke hari berikutnya. Apakah bercak darah tanda hamil? Tahukah anda, ada 7 warna darah haid yang berbeza? Bila darah haid kamu sudah lama tersimpan dalam rahim atau siklus haid kamu sedang tidak teratur, wajar jika warna darah haid kamu coklat. Sehingga ibu bisa mencoba cara. Terdapat punca lain yang perlu diwaspadai jika terdapat tanda lain. Namun, jika anda mengalami pendarahan berwarna coklat disertai dengan tanda dan gejala berikut, tandanya anda harus segera berkonsultasi dengan dokter. Dokter 24 beginilah tanda menstruasi berbahaya. Warna merah dari darah tersebut berubah menjadi cokelat karena ada proses oskidasi yang terjadi. Darah haid berwarna hitam membawa kebimbangan kerana darah haid biasanya warna merah. ...
Api 650 Tank Construction Sequence / API 650 Tanks - TIW Steel Platework Inc. - Annex i provides acceptable construction details that may be specified by the purchaser for design and construction of tank and foundation systems that provide leak detection and subgrade protection in the event of tank bottom. . In view of the materials of construction, requirements and recommendations are set forth, i.e.: The standard api 650 covers the design and calculation of the different elements of the tank. This standard does not present or establish a fixed series of allowable tank sizes; Aboveground vertical storage tanks • 500 to 50,000 gallon capacity • material of construction maybe carbon or stainless steel • underwriters laboratories. Api 650 large storage tank, bottom plate installation sequence. Api standard 2510, 9th edition, design and construction of lpg installations covers the design, construction, and location of liquefied petroleum gas (lpg) storage installations ...
Komentar
Posting Komentar